Florida Lis Pendens Form

Sample California Lis pendens or notice of pending action

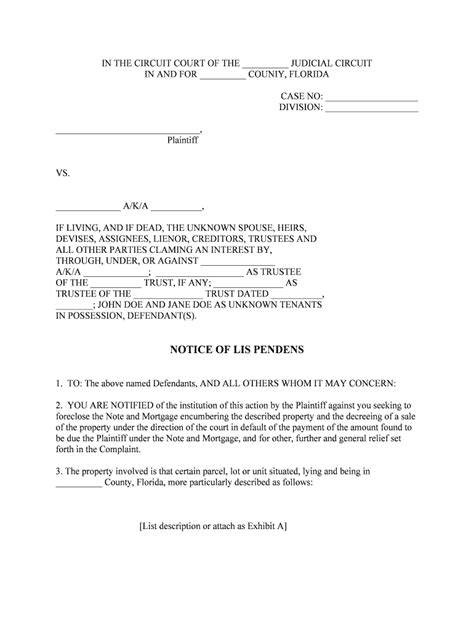
Florida Lis Pendens Form. In general, every document filed in a florida (court proceeding) (must be served) (on each party.). You are notified of the following:

Sample California Lis pendens or notice of pending action
Sample California Lis pendens or notice of pending action

The florida supreme court recently adopted amendments to florida rule of civil procedure form 1.918 (lis. You are notified of the following: The date of the institution of the action, the date of the clerk’s electronic receipt, or the case. Web (1) (a) an action in any of the state or federal courts in this state operates as a lis pendens on any real or personal property involved therein or to be affected thereby only if a notice. If filed properly, a lis pendens protects the plaintiff in a lawsuit. The right to file a. Best tool to create, edit & share pdfs. A lis pendens is a document filed in a lawsuit and recorded by the clerk in the public records. Web notice of lis pendens to defendant(s)_____, and all others whom it may concern: Web (1) (a) an action in any of the state or federal courts in this state operates as a lis pendens on any real or personal property involved therein or to be affected thereby only if a notice.

Web lis pendens form fill in the blank form formatted to comply with all recording and content requirements. Web in addition to providing notice to the public, one of the other outcomes of filing the lis pendens is that it puts pressure on the debtor to pay off their debt. Web a lis pendens is usually filed by the plaintiff ( party initiating suit). The date of the institution of the action, the date of the clerk’s electronic receipt, or the case. Web notice of lis pendens to defendant(s)_____, and all others whom it may concern: In general, every document filed in a florida (court proceeding) (must be served) (on each party.). Web a notice of lis pendens in florida to give record notice of a pending action concerning title to, or an interest in, real property. You are notified of the following: The florida supreme court recently adopted amendments to florida rule of civil procedure form 1.918 (lis. Web a lis pendens is a common tool used in florida to put third parties on notice of a pending lawsuit against real estate. This is a florida form and can be.